Journal Articles
81. Stepwise virus assembly in the cell nucleus revealed by spatiotemporal click chemistry of DNA replication
A. Gomez-Gonzalez, P. Burkhardt, M. Bauer, M. Suomalainen, J. M. Mateos, M. O. Loehr, N. W. Luedtke, U. F. Greber, Science Advances, 2024, 10, eadq7483.

80. Fluorescent molecular rotors detect O 6-methylguanine dynamics and repair in duplex DNA
W. Copp, A. Karimi, T. Yang, A. Guarné, N. W. Luedtke, Chemical Communications, 2024, 60, 1156.

79. PARP-1 improves leukemia outcomes by inducing parthanatos
B. Maru, A. Messikommer, L. Huang, K. Seipel, O. Kovecses, P. J. M. Valk, A. P. A. Theocharides, F. E. Mercier, T. Pabst, M. McKeague, N. W. Luedtke, Cell Reports Medicine, 2023, 4, 101191.

78. DNA templated Click Chemistry via 5-vinyl-2′-deoxyuridine and an acridine-tetrazine conjugate induces DNA damage and apoptosis in cancer cells
Y. Li, Y. Ling, M. O. Loehr, S. Chaabane, O. W. Cheng, K. Zhao, C. Wu, M. Büscher, J. Weber, D. Stomakhine, M. Munker, R. Pientka, S. B. Christ, M. Dobbelstein, N. W. Luedtke, Life Sciences, 2023, 330, 122000.

77. Formal [4 + 2] cycloadditions of maleimides on duplex DNA
K. Basran, A. Bujalska, A. Karimi, N. W. Luedtke, Bioconjugate Chemistry, 2023, 34, 977.

76. A bright and ionizable cytosine mimic for i-motif structures
A. Karimi, K. Wang, K. Basran, W. Copp, N. W. Luedtke, Bioconjugate Chemistry, 2023, 34, 972.

75. Ion-pair-enhanced double-click-driven cell adhesion and altered expression of related genes
K. Kitagawa, N. Okuma, M. Yoshinaga, H. Takemae, F. Sato, S. Sato, S. Nakabayashi, H. Yoshikawa, M. Suganuma, N. W. Luedtke, T. Matsuzaki, M. Tera, Bioconjugate Chemistry, 2023, 34, 638.

74. Active uptake and trafficking of nucleoside triphosphates in vivo
V. N. Schreier, M. O. Loehr, E. Lattmann, N. W. Luedtke, ACS Chem. Biol., 2022, 17, 1799.

73. A Kinetic and fluorogenic enhancement strategy for labeling of DNA and RNA
M. O. Loehr, N. W. Luedtke, Angewandte Chemie, 2022, 61, e202112931.

72. [4+2] and [2+4] cycloaddition reactions on single-and double-stranded DNA: a dual-reactive nucleoside
A. Bujalska, K. Basran, N. W. Luedtke, RSC Chemical Biology., 2022, 3, 698.

71. DNA template strand segregation in developing zebrafish and the immortal strand hypothesis
S. M. K. Glasauer, T. Triemer, A. B. Neef, S. C. F. Neuhauss, N. W. Luedtke, Cell Chemical Biology., 2021, 28, 1638.

70. Fluorescent dATP for DNA synthesis in vivo
V. N. Schreier, M. O. Loehr, T. Deng, E. Lattmann, A. Hajnal, S. C. F. Neuhauss, N. W. Luedtke, ACS Chemical Biology, 2021, 15, 2996.

69. RNA targeting in acute myeloid leukemia
A. Messikommer, K. Seipel, S. Byrne, P. J. M. Valk, T. Pabst, N. W. Luedtke, ACS pharmacology & translational science, 2021, 3, 1225.

68. A highly fluorescent nucleobase molecular rotor
A. Karimi, R. Börner, G. Mata, N. W. Luedtke, J. Am. Chem. Soc., 2020, doi: 10.1021/jacs.0c05180.

67. Cross-linking cellular nucleic acids via a target-directing double click reagent
M. Tera, N. W. Luedtke, Methods Enzymol., 2020, 641, 433.

66. Concerted dynamics of metallo-base pairs in an A/B-form helical transition
O. P. Schmidt, S. Jurt, S. Johannsen, A. Karimi, R. K. O. Sigel, N. W. Luedtke, Nat. Commun, 2019, 4818.

65. Enzymatic incorporation of a coumarin-guanine base pair
A. Johnson, A. Karimi, N. W. Luedtke, Angew. Chemie Intl. Ed, 2019, 58, 16839.

64. Three component bioorthogonal chemical reactions on cellular DNA and RNA
M. Tera, N. W. Luedtke, Bioconjugate Chem, 2019, 30, 2991.

63. Intercalation-enhanced "click" crosslinking of DNA
M. Tera, Z. H. Taji, N. W. Luedtke, Angew. Chemie Intl. Ed, 2018, 130, 15631.

62. Incorporation of azide groups into DNA using membraneāpermeable nucleotide triesters in vivo
M. Tera, S. M. K. Glasauer, N. W. Luedtke, ChemBioChem, 2018, 19, 1939.

61. HgII binds to C-T mismatches with high affinity
O. P. Schmidt, A. S. Benz, G. Mata, N. W. Luedtke, Nucleic Acids Res., 2018, 46, 6470.

60. Super-resolution imaging of individual replication forks reveals unexpected prodrug resistance mechanism
Triemer, Messikommer, Glasauer, Alzeer, Paulisch, Luedtke, Proc. Natl. Acad. Sci. USA, 2018, 115, E1366.

59. Chemoselective modification of vinyl DNA by triazolinediones
A. Naik, J. Alzeer, T. Triemer, N. W. Luedtke, Angew. Chemie Intl. Ed, 2017, 56, 10850.

58. DNA-targeted inhibition of MGMT
T. Marsoner, O. P. Schmidt, T. Triemer, N. W. Luedtke, ChemBioChem, 2017, 18, 894.

57. Fluorescent base analog reveals T-HgII-T base pairs have high kinetic stabilities that perturb DNA metabolism
O. P. Schmidt, G. Mata, N. W. Luedtke, J. Am. Chem. Soc., 2016, 138, 14733.

56. A fluorescent surrogate of thymidine in duplex DNA
G. Mata, O. P. Schmidt, N. W. Luedtke, Chem. Commun., 2016, 4718.

55. A bioorthogonal chemical reporter of viral infection
A. B. Neef, L. Pernot, V. N. Schreier, L. Scapozza, N. W. Luedtke, Angew. Chemie. Intl. Ed. 2015, 7911.

54. A fluorescent probe for proton-coupled folding reveals slow exchange of i-motif and duplex DNA
G. Mata, N. W. Luedtke, J. Am. Chem. Soc. 2015, 137, 699.

53. Molecular design and synthesis of a planar telomestatin analog
M. S. Seyfried, J. Alzeer, N. W. Luedtke, Eur. J. Org. Chem. 2015, DOI: 10.1002/ejoc.201501103.

52. Fluorescent chemosensors of carbohydrate triols exhibiting TICT emissions
D. Oesch, N. W. Luedtke, Chem. Commun. 2015, 51, 12641.

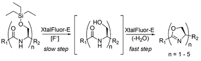
51. Synthesis of 2-oxazolines by in situ desilylation and cyclodehydration of b-hydroxyamides
Marco Brandstätter, Fabian Roth, N. W. Luedtke, J. Org. Chem. 2015, 80, 40.

50. Alkene-tetrazine ligation for imaging of cellular DNA
U. Rieder, N. W. Luedtke, Angew. Chemie. Intl. Ed. 2014, 53, 9168.

49. An azide-modified nucleoside for metabolic labeling of DNA
A. B. Neef, N. W. Luedtke, ChemBioChem 2014, 15, 789.

48. The influence of extraction solvents on the anticancer activities of palestinian medicinal plants
J. Alzeer, B. R. Vummidi, R. Arafeh, W. Rimawi, H. Saleem, N. W. Luedtke, J. Med. Plant Res. 2014, 8, 408.

47. Characterization of chromosomal architecture in Arabidopsis thaliana by chromosome conformation capture
S. Grob, M. W. Schmid, N. W. Luedtke, T. Wicker, U. Grossniklaus, Genome Biol. 2013, 14, R129.

46. Tracking viral genomes in host cells at single-molecule resolution
I-H. Wang, M. Suomalainen, V. Andriasyan, S. Kilcher, J. Mercer, A. B. Neef, N. W. Luedtke, U. F. Greber,
Cell Host Microbe, 2013, 14, 468.

45. Photodynamic agents with anti-metastatic activities
B. R. Vummidi, F. Noreen, J. Alzeer, K. Moelling, N. W. Luedtke, ACS Chem. Biol. 2013, 8, 1737.

44. Synthesis and solvatochromic fluorescence of biaryl pyrimidine nucleosides
G. Mata, N. W. Luedtke, Org. Lett., 2013, 15, 2462.

43. Fluorescent probes for G-quadruplex structures
B. R. Vummidi, J. Alzeer, N. W. Luedtke, ChemBioChem, 2013, 14, 540.

42. Synthesis and structure of a hydrogenated zinc hemiporphyrazine
S. M. Huber, G. Mata, A. Linden, N. W. Luedtke, Chem. Commun., 2013, 49, 4280.

41. Stereoselective N-glycosylation of 2-deoxythioribosides for fluorescent nucleoside synthesis
G. Mata, N. W. Luedtke, J. Org. Chem., 2012, 77, 9006.

40. Metabolic labeling of DNA by purine analogs in vivo
A. B. Neef, F. Samain, N. W. Luedtke, ChemBioChem, 2012, 13, 1750.

39. Excitonic luminescence of hemiporphyrazines
S. M. Huber, M. S. Seyfried, A. Linden, N. W. Luedtke, Inorg. Chem., 2012, 51, 7032.

38. Synthesis of DNA interstrand crosslinks using a photocaged nucleobase (English)(German)
S. Hentschel, J. Alzeer, T. Angelov, O. D. Schärer, N. W. Luedtke, Angew. Chemie Intl. Ed., 2012, 51, 3466.

37. Enantioselective and label-free detection of oligopeptides via fluorescent indicator displacement
J. T. Ren, J. H. Wang, J. Wang, N. W. Luedtke, E. K. Wang, Biosensors Bioelec. 2012, 35, 401.
36. Site-specific control of N7-metal coordination in DNA using a fluorescent purine derivative
A. Dumas, N. W. Luedtke, Chem. Eur. J., 2012, 18, 245.

35. Contribution of G-Quadruplex probe design to improved detection of DNA sequences using fluorescence
J. Ren, J. Wang, J. Wang, N. W. Luedtke, E. Wang, Biosensors Bioelec., 2012, 31, 316.
35. Dynamic metabolic labeling of DNA in vivo with arabinosyl nucleosides
A. B. Neef, N. W. Luedtke, Proc. Natl. Acad. Sci. USA, 2011, 108, 20404.

33. Fluorescence properties of 8-(2-pyridyl)guanine "2PyG" as compared to 2-aminopurine in DNA
A. Dumas, N. W. Luedtke, ChemBioChem, 2011, 12, 2044.

32. Highly fluorescent guanine mimics for folding and energy transfer studies
A. Dumas, N. W. Luedtke, Nucleic Acids Res., 2011, 39, 6825.

31. Label-free detection of nucleic acids by turn-ON and turn-OFF G-quadruplex-mediated fluorescence
J. Ren, H. Qin, J. Wang, N. W. Luedtke, E. Wang, Anal. Bioanal. Chem. 2011, 2763.
30. Cation-mediated energy transfer in G-quadruplexes revealed by an internal fluorescent probe
A. Dumas, N. W. Luedtke, J. Am. Chem. Soc. 2010, 132, 18004.

29. G-quadruplex-modulated fluorescence detection of potassium in a 3500-fold excess of sodium ions
H. Qin, J. Ren, J. Wang, N. W. Luedtke, E. Wang, Anal. Chem. 2010, 82, 8356.
28. Multiple-turnover isotopic labeling of Fmoc- and Boc-protected amino acids with oxygen isotopes
M. S. Seyfried, B. S. Lauber, N. W. Luedtke, Org. Lett., 2010, 12, 104.

27. pH-Mediated fluorescence and G-quadruplex binding of amido phthalocyanines
J. Alzeer, N. W. Luedtke, Biochemistry, 2010, 49, 4339.

26. Cellular uptake and binding of guanidine-modified phthalocyanines to KRAS/HRAS G-quadruplexes
M. Paramasivam, A. Membrino, S. Cogoi, J. Alzeer, N. W. Luedtke, L. E. Xodo, Chem. Commun. 2010, 625.
25. Guanidino phthalocyanines as high affinity G-quadruplex fluorescent probes
J. Alzeer, B. R. Vummidi, P. J. C. Roth, N. W. Luedtke, Angew. Chem. Intl. Ed., 2009, 9362.

24. An efficient two-step synthesis of metal-free phthalocyanines using a zinc(II) template
J. Alzeer, P. J. C. Roth, N. W. Luedtke, Chem. Commun., 2009, 1970.

23. Targeting G-quadruplex DNA with Small Molecules
N. W. Luedtke, Chimia, 2009, 63, 134.

22. Surveying polypeptide and protein domain conformation and association with FlAsH and ReAsH
N. W. Luedtke, R. J. Dexter, D. B. Fired, A. Schepartz, Nat. Chem. Biol. 2007, 779.
21. Lanthanide-mediated phosphoester hydrolysis and phosphate elimination from phosphopeptides
N. W. Luedtke, A. Schepartz, Chem. Commun. 2005, 5426.
20. A rapid library screen for tailoring beta-peptide structure and function
J. A. Kritzer, N. W. Luedtke, E. A. Harker, A. Schepartz, J. Am. Chem. Soc. 2005, 14584.
19. On the electronic structure of ethidium
N. W. Luedtke, Q. Liu, Y. Tor, Chem. Eur. J. 2005, 495.
18. Chemical biology: innovative solutions for diverse challenges
J. A. Kritzer, N. W. Luedtke, Chem. Biol. 2005, 617.
17. RNA-selective modification by a platinum(II) complex conjugated to amino- and guanidinoglycosides
J. Boer, K. F. Blount, N. W. Luedtke, L. Elson-Schwab, Y. Tor, Angew. Chem. Intl. Ed. 2005, 927.
16. Symmetrical dinuclear complexes based on [Ru(dpq)2(phen)]2+ with high DNA affinity
J. Aldrich-Wright, C. Brodie, E. C. Glazer, N. W. Luedtke, Y. Tor, Chem. Commun. 2004, 1018.
15. Affinity and specificity of aminoglycoside dimers and acridine conjugates to the HIV-1 Rev response element
N. W. Luedtke, Q. Liu, Y. Tor, Biochemistry, 2003, 11391.
14. Cellular uptake of aminoglycosides, guanidinoglycosides, and poly-arginine
N. W. Luedtke, P. Carmichael, Y. Tor, J. Am. Chem. Soc., 2003, 12374.
13. Fluorescence-based methods for evaluating the RNA affinity and specificity of HIV-1 Rev-RRE inhibitors
N. W. Luedtke, Y. Tor, Biopolymers, 2003, 103.
12. The DNA and RNA specificity of eilatin Ru(II) complexes as compared to eilatin and ethidium
N. W. Luedtke, J. S. Hwang, E. C. Glazer, D. Gut, M. Kol, Y. Tor, Nucleic Acids Res., 2003, 5732.
11. Synthesis, photophysical properties, and nucleic acid binding of phenanthridinium derivatives of ethidium
N. W. Luedtke, Q. Liu, Y. Tor, Bioorg. Med. Chem., 2003, 5235.
10. Inhibition of nuclear import mediated by the Rev-arginine rich motif by RNA molecules
K. Fineberg, T. Fineberg, A. Graessmann, N. Luedtke, Y. Tor, D. Jans, A. Loyter, Biochemistry, 2003, 2625.
9. Eilatin Ru(II) complexes display anti-HIV activity and enantiomeric diversity in the binding of RNA
N. W. Luedtke, J. S. Hwang, E. C. Glazer, D. Gut, M. Kol, Y. Tor, Chembiochem, 2002, 766.
8. 2-Aminopurine as a real-time probe of enzymatic cleavage and inhibition of hammerhead ribozymes
S. R. Kirk, N. W. Luedtke, Y. Tor, Bioorg. Med. Chem., 2001, 2295.
7. A simple conversion of amines into monosubstituted ureas in organic and aqueous solvents
Q. Liu, N. W. Luedtke, Y. Tor, Tetrahedron Lett., 2001, 1445.
6. Development of a functional backbone cyclic mimetic of the HIV-1 Tat arginine-rich motif
A. Friedler, D. Friedler, N. W. Luedtke, Y. Tor, A. Loyter, C. Gilon, J. Biol. Chem., 2000, 23783.
5. Guanidinoglycosides: A novel family of RNA ligands
N. W. Luedtke, T. J. Baker, M. Goodman, Y. Tor, J. Am. Chem. Soc., 2000, 12035.
4. A novel solid-phase assembly for identifying potent and selective RNA ligands
N. W. Luedtke, Y. Tor, Angew. Chem. Intl. Ed., 2000, 1788.
3. Neomycin-acridine conjugate: A potent inhibitor of Rev-RRE binding
S. R. Kirk, N. W. Luedtke, Y. Tor, J. Am. Chem. Soc., 2000, 980.
2. Synthesis and anti-HIV activity of guanidinoglycosides
T. J. Baker, N. W. Luedtke, Y. Tor, M. Goodman, J. Org. Chem., 2000, 9054.
1. The 5'-GNC preference for mustard cross-linking is preserved in a restriction fragment
J. T. Millard, N. W. Luedtke, R. J. Spencer, Anti-Cancer Drug Des., 1996, 485.
Book Chapters
2. Fluorescent purine analogs for shedding light on DNA structure and function. In: Fluorescent Analogs of Biolmolecular Building Blocks: Design and Application
A. Dumas, G. Mata, N. W. Luedtke, 2015, Wiley-VCH, in press.
1. Targeting HIV RNA with Small Molecules. In: DNA and RNA Binders Vol. 1
N. W. Luedtke, Y. Tor, 2002, Wiley-VCH, 18-40.
Patents
7. Methods and products from the reaction of tetrazines with nucleic acids bearing ethenyl aromatic groups
N. W. Luedtke, U. Rieder, 2014, PCT/EP provisional application submitted.
6. Arabinofuranosyl pyrimidine derivatives for incorporation of bioorthoginal functional groups into DNA
N. W. Luedtke, A. B. Neef, 2011, PCT/EP application 11187971.
5. Preparation and uses of guanidinium-modified porphyrins and phthalocyanines
N. W. Luedtke, J. Alzeer, B. R. Vummidi, 2010, PCT Intl. Appl. WO2010028780.
4. 8- and 6,8-substituted 2'-deoxyguanosines and uses thereof
N. W. Luedtke and A. D. Dumas, 2010, PCT Intl. Appl. WO2010028781.
3. Preparation of phenanthridine derivatives as anti-viral agents
Y. Tor and N. W. Luedtke, 2005, PCT Intl. Appl.WO2005016343.
2. Guanidinium derivatives for improved cellular transport
Y. Tor and N. W. Luedtke, 2005, PCT Intl. Appl. WO2005025513.
1. Guanidinylation, guanidinoglycosides, uses, and methods of assaying their activity
M. Goodman, Y. Tor, T. Baker, and N. W. Luedtke, 2003, U.S. 6,525,182 and 6,833,445.
Doctoral Theses
Fluorescent Nucleosides for Probing Proton-Coupled DNA Folding in Real Time
Guillaume Mata, University of Zurich, Switzerland, 2014.
Clickable Nucleoside Analogs for Dynamic Metabolic Labeling of Cellular DNA
Anne B. Neef, University of Zurich, Switzerland, 2013.
Cellular Targets of Guanidino Phthalocyanines
Bala Yeshwanth Ram Vummidi, University of Zurich, Switzerland, 2013.
Synthesis of DNA Interstrand Crosslinks Using a Photocaged Nucleobase
Sarah Hentschel, University of Zurich, Switzerland, 2013.
Design and Synthesis of Planar Telomestatin Analogs
Martin S. Seyfried, University of Zurich, Switzerland, 2012.
8-Substituted-2'-Deoxyguanosines as Internal Probes for DNA Folding and Energy Transfer
Anaelle Dumas, University of Zurich, Switzerland, 2011.
RNA Affinity and Specificity of Modified Aminoglycosides, Metal Complexes, and Intercalating Agents
Nathan W. Luedtke, University of California, San Diego, 2003.
Masters' Thesis
Biphenyl Boronic Acid Derivatives as Push-Pull Fluorescent Sensors of Carbohydrates
David Oesch, Department of Chemistry, University of Zurich, 2014.
A New Approach for the Synthesis of 2-Oxazolines via in situ Desilylation
Marco Brandstätter, Institute of Organic Chemistry, University of Zurich, 2013.
Metal Binding and Catalysis by Pyridine-Modified DNA
Olivia Schmidt, Institute of Organic Chemistry, University of Zurich, 2013.
Hemiporphyrazines: Synthesis, Photophysical Properties and Rectivity
Sabrina M. Huber, Institute of Organic Chemistry, University of Zurich, 2012.
Synthesis and Evaluation of Cationic Phthalocyanines as G-quadruplex Ligands
Raul Geraldo Pereira, Institute of Organic Chemistry, University of Zurich, 2011.
Diplom Thesis
Synthesis and Evaluation of Guanidino Phthalocyanines for G-quadruplex Binding
Phillipe J. C. Roth, Institute of Organic Chemistry, University of Zurich, 2008.